TÓM TẮT
Trong bài báo này, chúng tôi đưa ra giải pháp thiết kế cho một thiết bị camera có khả năng phát hiện và cảnh báo cháy hoạt động ở môi trường trong nhà. Cụ thể hơn chúng tôi tập trung nghiên cứu về các giải pháp phát hiện khói của các đám cháy, thu nhập dữ liệu hình ảnh của khu vực cháy, cảnh báo khi có cháy, cũng như việc đưa ra các giải pháp truyền dữ liệu về trung tâm điều khiển.
Thiết bị này sử dụng cảm biến phát hiện cháy được tích hợp với camera để cùng lúc phát hiện cháy bằng hai phương pháp là hình ảnh và nhiệt độ. Camera đóng vai trò như một camera giám sát an ninh, như vậy sẽ có tính ứng dụng cao vừa để thực hiện báo cháy vừa thực hiện chức năng theo dõi an ninh. Các phương pháp xử lý ảnh phát hiện khói sẽ được thực hiện tại trung tâm điều khiển, đồng thời cũng ứng ụng phương pháp hiệu chỉnh méo dạng ảnh lên video từ camera giám sát, để loại bỏ các méo dạng ống kính góc rộng của camera giám sát. Kết quả thu được chúng tôi trình bày ở cuối bài báo này.
ABSTRACT
In this paper, we offer a design solution for a camera device capable of detecting and warning against fire operating in an indoor environment. More specifically, we focus on researching solutions to detect smoke from fires, collect image data of fire areas, warn when there is a fire, as well as offer solutions to transmit data about fire control centers. This device uses a fire detection sensor integrated with the camera to simultaneously detect a fire by two methods: image and temperature. The camera acts as a security surveillance camera, so it will have high applicability both to perform fire alarms and perform security monitoring functions. Smoke detection image processing methods will be performed at the control center, and image distortion correction methods will also be applied to video from surveillance cameras, to eliminate the wide-angle lens distortion of the camera monitor. We present our results at the end of this paper.
Đặt vấn đề
Những vụ hỏa hoạn xảy ra tại các chung cư, tòa nhà cao ốc là nỗi ám ảnh của nhiều người dân trên thế giới. Hỏa hoạn gây ra nhiều thiệt hại nghiêm trọng như phá hoại cơ sở vật chất và con người, không những thế còn huỷ hoại môi trường sống, gây ô nhiễm môi trường. Những vụ cháy tại các chung cư còn gây rất nhiều khó khăn về việc giải cứu con người và mất rất nhiều thời gian để có thể dập tắt đám cháy nếu không được kiểm soát kịp thời thì hậu quả rất nặng nề. Vì vậy việc phòng cháy chữa cháy đóng một vai trò hết sức quan trọng và luôn được chú trọng. Tuy nhiên, việc phòng chống hỏa hoạn là một công việc hết sức khó khăn vì nguyên nhân phát sinh của hỏa hoạn là rất nhiều và khó đoán trước được. Để giải quyết vấn đề này thì việc sử dụng các hệ thống cảnh báo cháy trong các chung cư và nhà cao tầng là rất cần thiết.
Trong thời đại công nghệ 4.0 đang phát triển mạnh mẽ như hiện nay, mọi lĩnh vực đều được ứng dụng công nghệ mới hiện đại. Việc nghiên cứu và triển khai những công nghệ mới vào lĩnh vực Internet vạn vật (IoTs) là không thể thiếu. Chúng ta có thể kể đến các hệ thống cảnh báo cháy tự động như hệ thống báo cháy thông thường, hệ thống báo cháy địa chỉ, và hệ thống báo cháy thông minh. Các loại hệ thống báo cháy tự động theo tiêu chuẩn có cấu trúc gồmthiết bị trung tâm báo cháy, các thiết bị cảm biến phát hiện cháy, các nút bấm báo cháy và các thiết bị báo động. Hệ thống báo cháy thông thường kết nối tới các thiết bị trung tâm một cách độc lập, mỗi thiết bị đều nối dây tới trung tâm điều khiển.
Khi yêu cầu thiết kế quá nhiều thiết bị người ta sẽ không thể nối từng thiết bị tới trung tâm mà chia thành các khu vực nhỏ, mỗi khu vực các thiết bị sẽ được kết nối về trung tâm theo một đường truyền. Như vậy khi có báo cháy xảy tại một địa điểm, hệ thống này chỉ biết được vị trí cháy thuộc khu vực nào chứ không biết chính xác vị trí cháy. Với hệ thống báo cháy địa chỉ, các thiết bị phát hiện cháy và báo hiệu được kết nối trên cùng một đường dây, tạo thành một vòng kín trở về trung tâm điều khiển. Khi có cháy xảy ra, bộ phát hiện cháy sẽ điều khiển chuông cảnh báo kêu đồng thời sẽ tạo ra thay đổi trên tín hiệu truyền về trung tâm. Trung tâm sẽ xác định được sự thay đổi này nằm ở vị trí nào trong mạng kết nối. Hệ thống báo cháy địa chỉ thường có giá thành đắt hơn do phức tạp về mặt kỹ thuật.
Từ những phân tích ở trên việc tích hợp các công nghệ mới vào hệ thống cảnh báo cháy gồm cả công nghệ truyền tải không dây và công nghệ hình ảnh là phương pháp hữu ích là phù hợp hoạt động trong môi trường của các tòa nhà cao tầng hiện nay.
Các nghiên cứu liên quan
Các thiết bị báo cháy hiện nay chưa có nhiều sự cải tiến và thay đổi. Việc nghiên cứu và ứng dụng các công nghệ hiện đại hệ thống này là cần thiết. Các nghiên cứu đã đưa ra các phương pháp cảnh báo cháy khác nhau [1]-[4]. Trong [1] tác giả sử dụng công nghệ GSM để phát tín hiệu cảnh báo cháy. Trong bài báo này, tác giả đưa ra thiết kế chi tiết của toàn bộ một node cảm biến khói. Tác giả của bài báo [2] đưa ra thiết kế hệ thống với công nghệ cảm biến không dây trên nền tảng Xbee kết hợp với GSM để kết nối từ xa. Một xu hướng nghiên cứu khác là ứng dụng công nghệ hình ảnh vào phát hiện đám cháy. Trong [3], các tác giả đã đưa ra phương pháp phát hiện khói và lửa qua việc so sánh các khung hình bình thường và khung hình có lửa hay khói. Trong [4], tác giả cũng giới thiệu phương pháp phát hiện lửa nhờ màu sắc và phân tích sự lớn lên của khu vực có lửa.
Bài báo của chúng tôi gồm có bốn phần. Phần I đưa ra lý do lựa chọn đề tài. Phần II trình bày các nghiên cứu liên quan. Phần III sẽ trình bày cơ sở lý thuyết và mô hình thiết kế hệ thống. Phần IV sẽ đưa ra kết quả và đánh giá. Trong phần cuối cùng, chúng tôi sẽ đưa ra kết luận và đánh giá về hệ thống.
Thiết kế hệ thống
- Cơ sở lý thuyết
Camera ban đầu được phát minh ra nhờ nguyên lý tạo ảnh của gương cầu lồi. Người ta nghĩ ra cách lưu lại hình ảnh với cơ chế phản ứng hóa học dưới tác động của ánh sáng để từ đó phát minh ra phim. Sau một thời gian được cải tiến và phát triển, camera ảnh số hiện đại ngày nay vẫn hoạt động theo cùng một nguyên lý, tuy nhiên cấu tạo lại ngày càng phức tạp và nhỏ gọn hơn.
Quan sát hình 1 bên dưới chúng ta có thể thấy một camera ảnh số cấu tạo gồm hai phần chính là thấu kính và cảm biến hình ảnh. Hệ thống thấu kính thu ánh sáng và tạo ra ảnh thật trên mặt phẳng cảm biến ảnh. Cảm biến ảnh được cấu tạo gồm rất nhiều các photodiode có khả năng chuyển đổi ánh sáng thành tín hiệu điện.

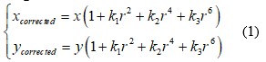
Ta có thể biểu diễn độ méo bằng một khai triển Taylor xoay quanh giá trị r = 0, với
. Các camera giá rẻ thường biểu diễn méo dạng qua hai bậc của chuỗi Taylor với hai hệ số k1 và k2. Các camera góc rộng hoặc lens mắt cá thì có thể sử dụng tới hệ số thứ ba k3 để biểu diễn méo dạng. Vị trí của điểm ảnh chịu ảnh hưởng của méo dạng xuyên tâm có thể dược biểu diễn theo công thức:

Trong đó, (x, y) là tọa độ điểm ảnh gốc chịu ảnh hưởng của méo dạng xuyên tâm. Còn (xcorrected, ycorrected) là tọa độ đúng của điểm ảnh (đã được loại bỏ méo dạng).
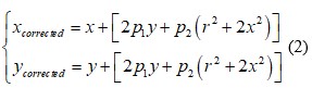
Ngoài méo dạng xuyên tâm, một loại méo dạng khác được gọi là tangential distortion (méo dạng tiếp tuyến) cũng xuất hiện phổ biến trên camera giá rẻ. Nguyên nhân chủ yếu của loại méo dạng này là lens và mặt phẳng cảm biến ảnh không được đặt song song với nhau như trong hình 3. Méo dạng này được biểu diễn bằng công thức):

Các tham số k1, k2, k3 p1, p2 sẽ được tìm ra với phương pháp hiệu chỉnh camera. Phương pháp này sẽ được nêu tới trong phần thiết kế bên dưới. Việc chỉnh sửa méo dạng xuyên tâm và méo dạng tiếp tuyến có thể cho phép ta linh hoạt điều chỉnh hình ảnh từ camera giám sát thu được với lens góc rộng. Do thấu kính của các camera giám sát thường được thiết kế là loại góc rộng để tận dụng hết mức có thể hình ảnh thu được vì thế bài báo này sẽ ứng dụng phương pháp hiểu chỉnh camera lên một lens góc rộng để tiền xử lý hình ảnh thu được [5].
Giao thức UDP thường được dùng để truyền các dữ liệu media như hình ảnh, video, âm thanh. Khi mà không cần sự toàn vẹn của dữ liệu người ta vẫn có thể nhận được đầy đủ thông tin. Hơn nữa kích thước dữ liệu hình ảnh, video thường rất lớn, nếu truyền đi với giao thức TCP rất có thể không đáp ứng được về mặt độ trễ và thông suốt của dịch vụ.
- Thiết kế hệ thống

Các khối được thiết kế với trung tâm xử lý như hình 2 là một máy tính nhúng như Raspberry pi. Module có tích hợp sẵn các phần cứng thực hiện chức năng kết nối mạng Ethernet, Wifi và USB. Hệ điều hành cài lên module này là một phiên bản Linux và cũng có các thư viện Java hỗ trỡ sẵn cho vi xử lý BroadCom, vi xử lý trung tâm của Raspberry Pi.
Cảm biến phát hiện khói và cảm biến nhiệt độ, độ ẩm được kết nối với một mạch điện tử khác chứa vi điều khiển STM32, vi điều khiển đọc giá trị cảm biến sau đó chuyển dữ liệu về Raspberry thông qua giao tiếp USB.
Trong bài báo này chúng tôi sử dụng camera là module webcam để thu hình ảnh và sử dụng giao thức USB để truyền tài hình ảnh tới vi điều khiển như hình 3.

- Module mạng Ethernet: sử dụng IC LAN9514
- Module USB 2.0: IC LAN9514
- Module wifi tích hợp sẵn một anten 2.4GHz trong mạch: IC BCM43328



Cảm biến nhiệt độ, độ ẩm được thiết kế thêm vào như một chức năng phụ trợ, thể hiện khả năng mở rộng phát triển thêm các ngoại vi của hệ thống. Hình 7 là cảm biến nhiệt độ, độ ẩm.

Khi cảm biến phát hiện có khói thì luôn luôn sẽ có một cảnh báo được đưa ra để thông báo trạng thái phát hiện cháy. Hệ thống cảnh báo cục bộ tại một node cảm biến sẽ được thiết kế bằng còi chíp và đèn LED, khi phát hiện đám cháy thì hệ thống sẽ tự động bật sáng LED và còi sẽ kích hoạt.
- Thiết kế phần mềm
Yêu cầu quan trọng của thiết bị là đưa được dữ liệu hình ảnh và cảm biến về tới một trung tâm điều khiển. Cụ thể hơn sẽ tận dụng cơ sở hạ tầng mạng LAN.
Với mô hình hệ thống như trên, ta có thể thấy vai trò của RPi chủ yếu nằm ở hai chức năng là thu thập dữ liệu và truyền đi. Thu thập dữ liệu chính là việc giao tiếp với khối camera và khối cảm biến khói. Trong thiết kế phần cứng giải pháp được chọn cho hai kết nối này đều là USB, nên việc giao tiếp với hai cảm biến sẽ thông qua driver USB. Sau đó nhiệm vụ quan trọng tiếp theo đó là truyền dữ liệu về trung tâm giám sát.
- Thiết kế chương trình cho vi điều khiển
Khối vi điều khiển có vai trò đọc dữ liệu cảm biến khói, cảm biến nhiệt độ, độ ẩm và gửi dữ liệu về RPi qua giao tiếp USB. Vi điều khiển STM cũng đóng vai trò điều khiển tín hiệu cảnh báo. Chi tiết hơn ta có thể liệt kê ra các yêu cầu cụ thể cho chương trình vi điều khiển là:
- Điều khiển ngoại vi USB trên SMT23F103C8 để tạo ra một cổng COM ảo để giao tiếp với driver trên RPi.
- Điều khiển ngoại vi tạo xung nhịp tạo tần số hoạt động cho vi điều khiển sao cho đảm bảo hoạt động các ngoại vi khác.
- Giao tiếp với cảm biến DHT12 thông qua ngoại vi I2C
- Điều khiển khối khuếch đại tín hiệu phát hiện khói: bật tắt LED phát hồng ngoại, xử lý tín hiệu khói.
- Điều khiển tín hiệu cảnh báo thông qua các chân IO
- Đọc mức logic tín hiệu cảnh báo của module MC14502.
Kết quả đánh giá
- Kết quả
Hình 8 là hệ thống sau khi đã hoàn thiện, phần mạch đo và khối điều khiển trung tâm đặt bên trong hộp, phần cảm biến khói và cảm biến nhiệt độ, độ ẩm được đặt phía ngoài cùng, không bị che chắn để đảm bảo hoạt động tốt nhất.

Chương trình cho vi điều khiển sau khi được nạp vào sẽ khởi tạo một cổng COM ảo cho phép kết nối với máy tính qua giao tiếp USB và truyền tải dữ liệu. Để kiểm tra hoạt động của chương trình ta kết nối mạch vi điều khiển với cổng USB trên máy tính. Cài sẵn driver STM32 Virtual COM Port Driver trên máy tính và sử dụng một phần mềm có tên là Hercules để nhận dữ liệu gửi về từ module vi điều khiển.
Sau khi kết thúc khởi tạo kết nối tới module phần cứng thì chương trình sẽ lắng nghe cho tới khi nhận được tín hiệu kết nối từ bên thu, chính là bản tin Multicast. Khi đó ta sẽ có được địa chỉ IP và bắt đầu việc gửi dữ liệu. Kết quả bên thu tín hiệu nhận về được các khung hình và liên tục làm mới hiển thị mỗi khi nhận được một khung mới, một luồng xử lý khác sẽ lấy dữ liệu từ các khung nhận đươc từ đó tạo thành một video và lưu trữ lại. Hình ảnh bên phía thu nhận được như hình 9 bên dưới.
- Kiểm tra
Cho thiết bị hoạt động liên tục và đặt trong không gian ngoài trời. Mục đích là khi thu tín hiệu nhiệt độ độ ẩm từ cảm biến ta có thể đem so sánh với dữ liệu thời tiết của các trạm quan trắc lấy từ weather.com. Hình 10 và bảng 1 bên dưới mô tả một kết quả đo kiểm tra và so sánh với kết quả đo từ weather.com.
Tại máy tính chạy phần mềm thu dữ liệu từ thiết bị ta sẽ quan sát được hình ảnh từ camera trên máy tính như trong hình 11.
Bảng 1. Thống kê thời gian đáp ứng của cảm biến phát hiện khói
| STT | Nguồn tạo khói | Mô tả về cách tạo khói | Thời gian đáp ứng của cảm biến) |
| 1 | Hương | Đốt một que hương loại thông thường sau đó đặt làn khói lại gần đầu cảm biến, lặp lại phép đo nhiều lần lấy trung bình thời gian đáp ứng. | 43 giây |
| 2 | Giấy | Vo nhiều tờ giấy A4 lại thành một khối. Đốt khối giấy để tạo khói sau đó cho tiếp xúc với cảm biến. | 31 giây |
| 3 | Vải | Dùng loại vải cô – tông thường thấy trên các loại khăn mặt. Đốt để tạo khói sau đó cho tiếp xúc với cảm biến | 76 giây |
| 4 | Hơi nước | Hơi nước từ ấm đun nước | Không xác định |
| Hơi nước từ nồi cơm điện đang sôi | 97 giây |


Công suất tiêu thụ của thiết bị được đo bằng cách sử dụng một đồng hồ đo điện đo dòng tiêu thụ tổng của thiết bị. Kết quả đo ở hai trạng thái, khi thiết bị đang hoạt động nhưng không gửi dữ liệu và khi thiết bị đang gửi dữ liệu về máy tính. Có thể thấy kết quả trên hình 12 và bảng 2 bên dưới.

Bảng 2: Thông số ký thuật của thiêt bị
| STT | Tiêu chí | Kết quả đạt được |
| 1 | Kích thước | 15.5×8.7×8 cm |
| 2 | Độ phân dải hình ảnh | 640×480 (480p) |
| 3 | Độ trễ hình ảnh | 426 ms |
| 4 | Sai số nhiệt độ | +1.92 °C |
| 5 | Sai số độ ẩm | -5.22 % |
| 6 | Công suất tiêu thụ | 4.5 W |
| 7 | Độ trễ cảm biến khói | 61.75 giây |
Kết luận
Như vậy phần này đã trình bày kết quả cũng như hoạt động của thiết bị. Để so sánh với các thiết bị khác trên thị trường hiện nay, thiết bị này không có quá nhiều yếu tố nổi bật hơn. Độ phân giải hình ảnh chỉ là 480p trong khi các thiết bị camera giám sát hiện nay đều đạt mức tối thiểu là 1080p tương đương với cảm biến ảnh kích thước 2MPixel.
Các thiết bị đó cũng có kích thước nhỏ gọn và chắc chắn, thậm chí có loại có chống nước. Do hạn chế về gia công chế tạo, về nguồn cấp linh kiện nên hiện tại đề tài mới chỉ thực hiện được các kết quả như trên. Điểm vượt trổi của thiết bị là tích hợp khả năng đọc dữ liệu cảm biến cũng như khả năng kết nối với hạ tầng mạng trong các tòa nhà cao tầng không nhiều thiết bị được tích hợp các chức năng này.
Tài liệu tham khảo
- Islam, S.A. Abdullah, and G. Sarowar, “Enhanced Wireless Control System for Smoke and Fire Detection”, International Journal of Computer and Electrical Engineering, Vol. 5, No. 2, April 2013.
- KB Deve, GP Hancke and BJ Silva, “Design of a smart fire detection system”, IECON 2016 – the 42nd Annual Conference of the IEEE Industrial Electronics Society.
- H. Kwon, S.M. Cho, S.M. Hwang, “Design and Implementation of Fire Detection System”, Publisher: IEEE, Advanced Software Engineering and Its Applications 2008.
- Seebamrungsat, S. Praising, and P. Riyamongkol, “Fire Detection in the Buildings Using Image Processing”, Publisher: IEEE, 2014 Third ICT International Student Project Conference (ICT-ISPC).
- J. Radke, “Computer Vision for Visual Effects”, Cambridge University Press, New York, USA, 2013.
- User “applejoe” from baidu.com, “Camera & a training resource materials”,https://wenku.baidu.com/view/be2e4b2af46527d3250ce027.html
- Raspberry, “Raspberry Pi 3: Specs, Benchmarks & Testing”, https://www.raspberrypi.org/magpi/raspberry-pi-3-specs-benchmarks/
Tác giả: Giáp Thị Nguyệt, Nguyễn Hữu Phát – Viện Điện Tử Viễn Thông, Trường Đại học Bách khoa Hà Nội; Trần Văn Tình – Phòng nghiên cứu và phát triển, Công ty Sam Sung.
Theo TC AS&CS số in tháng 03/2023


